與鍛造、鑄造、機械加工等傳統鈦合金制造技術相比,激光熔化沉積技術具有復雜部件快速成型、無需開模、材料利用率高等獨特優勢,已逐步應用于壓力容器、起重設備等特種設備關鍵構件的一體化制造中[1]。由于激光熔化沉積鈦合金制造涉及復雜的材料熔化物理過程,不僅成型工藝參數復雜多樣,而且對原材料和成型設備的要求很高,即使嚴格控制鈦合金部件的成型工藝參數,在生產過程中仍會出現孔隙、裂紋、夾雜物等缺陷[2-4]。
超聲檢測可以檢測出鈦合金中孔隙、孔洞、裂紋等缺陷[5]。由于激光熔化沉積技術制備的鈦合金部件具有明顯的各向異性、多晶體高散射等特點,且一般用于特種設備領域的鈦合金結構尺寸和厚度較大[6-7],故聲波在鈦合金中傳播時會產生嚴重的畸變和衰減,超聲檢測信噪比較差,缺陷識別能力明顯下降[8]。由于其復雜的聲學特性,采用傳統的距離振幅校正方法來補償不同深度的回波信號難以獲得理想的效果[9]。激光熔化沉積制造鈦合金中存在粗大的柱狀晶體結構,雖然在不同位置和深度的超聲波入射方向上,缺陷回波的振幅不具有一致的規律[10-11],但是缺陷回波的波形之間卻有一定的相似性,而歸一化互相關方法適用于測量信號與指定信號的相似性[12]。鑒于傳統超聲檢測方法在激光熔化沉積鈦合金制造中應用的不足,在不改變超聲檢測系統硬件的情況下,使用歸一化互相關方法對采集的測試回波數據進行處理和重建,并結合陣列超聲檢測方法,增強聲束能量,提高聚焦能力,可以提高激光熔化沉積制造鈦合金的測試精度和效率[13-15]。基于歸一化互相關方法,可以將指定參考信號波形的相似性作為測量尺度來模擬常規鈦合金的超聲檢測數據,并提取顯著衰減位置的弱缺陷信號[16-17]。此外,歸一化互相關方法可抑制非相干噪聲,如接口噪聲等[18]。
基于激光熔化沉積技術制造了有預埋缺陷的TC11鈦合金試件,通過自主研發的超聲水浸C掃檢測系統,采集回波信號數據,經過計算機模擬,來驗證歸一化互相關方法對超聲檢測信噪比的改善。對試件各測試面采集到的回波信號數據進行了歸一化互相關信號處理,重建了預埋缺陷和底部回波信號的歸一化互相關系數圖像,并與傳統的振幅成像進行了比較。試驗結果表明,在不改變系統硬件的情況下,歸一化互相關信號處理方法可以提高傳統超聲檢測對激光熔化沉積鈦合金缺陷的弱回波信號的測試能力。
1、試驗制備與試驗方法
基于激光熔化沉積技術制備了尺寸(邊長)為60mm的正方體TC11鈦合金試件。根據激光熔化沉積技術的工藝特點,試件的測試面被定義為打印面(試件成型過程中激光掃描和步進的表面)、沉積面x和沉積面y(包括另外兩個非打印面)。為了分析超聲波在鈦合金試件不同入射面的缺陷檢測能力,在試件的打印面和兩個相鄰的沉積面加工了直徑為0.8mm、深度為5mm的平底孔缺陷,將其分別定義為1號~6號缺陷。基于試件缺陷分布,在任何檢測面上進行超聲檢測時,有2個恒定深度的平底孔缺陷和4個不同深度的橫孔缺陷需要檢測。激光熔化沉積TC11鈦合金試件實物及缺陷分布示意如圖1所示。

采用自主研發的全自動超聲檢測試驗系統來采集鈦合金試件的數據,其結構框圖如圖2所示。該試驗系統的高頻超聲裝置由一個超聲波脈沖接收器(JSRPRC-50)和一個輸入A/D板(OKOSAL12250)組成。機械臂系統(史陶比爾RX-160)被用作運動執行器,用來夾緊和觸發超聲波傳感器。該系統的超聲波測試和全自動運動控制軟件均為自主開發。

考慮到缺陷的大小和鈦合金試件的復雜聲學特性,使用了中心頻率為15MHz、晶片直徑為6.35mm、焦距為50.3mm的聚焦超聲波換能器,試件的3個無預埋缺陷的表面被作為超聲垂直入射面,分別對試件進行了3組超聲水浸C掃描檢測試驗(脈沖回波法)。超聲水浸C掃描試驗的主要參數如表1所示。為了便于后續的超聲回波信號處理和成像,所有的測試數據均以全波的方式存儲。傳統超聲水浸檢測時聚焦的物理焦點是單一的,對于較大厚度鈦合金試件,無法實現其焦點對檢測區域的覆蓋,檢測回波信號較弱,通常采用直接提高信號增益或實施距離振幅校正方法來提高較大厚度回波信號的信噪比。

但由于鈦合金具有高衰減、高背景噪聲、各向異性等聲學特性,上述方法無法獲得理想的效果,文章采用對常規超聲換能器采集的回波信號進行后處理的方法,增強弱缺陷回波信號,抑制背景結構噪聲,進而提高較大厚度鈦合金試件的超聲檢測能力。
2、試驗信號處理與仿真驗證
2.1超聲檢測信號處理
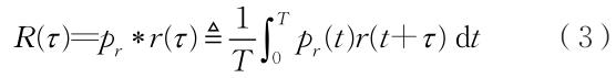
基于歸一化互相關的信號處理方法,計算接收到的超聲波回波信號與已知參考信號在時間軸上的相似度,從而提取試件較大深度處的回波信號。超聲檢測信號處理過程如圖3所示,對整個回波信號(包括初始波、背景噪聲、缺陷回波和底部回波)中紅圈處局部信號進行放大截取,以水-試件界面的相同換能器參數的回波信號為參考信號,在此基礎上,以歸一化互相關系數為尺度重建信號,表征與參考信號的相似性。最后,得到信號處理結果。對所有全波信號進行上述信號處理,參照信號相似度的尺度對超聲檢測數據進行標準化處理。換能器收到的超聲波回聲信號r(t)及來自水-試件界面的參考超聲回波信號pr(t)的定義分別為

式中:s(t)為來自鈦合金試件的無噪聲回波信號;p(t)為來自水-試件界面的無噪聲回波信號;n1(t)和n2(t)為超聲檢測系統的接口噪聲。

參考超聲回波信號pr和接收信號r,互相關R(τ)定義為

式中:*為卷積;T為pr的長度。
參考信號pr對接收信號r的歸一化互相關系數ρ(τ)定義為

式中:σpr為參考信號pr的標準偏差;σr(τ)為以位置τ為中心、長度為T的接收信號r的標準偏差;ρ(τ)為獲得的重構信號。

將公式(1),(2)代入公式(3),得非相干噪聲n1和n2通過卷積操作被消除,重建信號ρ(τ)實現了非相干噪聲的消除,與原始信號r(t)相比提高了檢測信噪比。
2.2超聲檢測仿真驗證
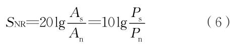
將上述歸一化互相關信號處理方法應用于全波模擬數據以驗證其有效性。在CIVA軟件中,分別建立直徑為0.6,0.8,1.0mm的平底孔,相同深度的板材檢測模型。在參數設置與試驗設置一致的情況下,進行了C掃描檢測的模擬。接口噪聲是在上述模擬得到的超聲波全波數據的基礎上加入的。接口噪聲的強度為式中:

As為φ1.0mm平底孔中心的回波信號振幅;An為噪聲振幅;Ps為上述回波信號功率;Pn為噪聲功率。
計算相應信噪比下的附加噪聲功率Pnoise值,在MATLAB中將相應功率的接口噪聲加入至模擬全波信號中。
在全波數據中加入比信號低14dB的接口噪聲,基于歸一化相關方法的CIVA模擬信號處理如圖4所示。通過比較上述A掃描信號和C掃描成像結果,經過歸一化互相關處理后,時間軸方向的非相干噪聲被抑制,平底孔缺陷的回波信號得到加強。與處理前的信號相比,上述信號處理結果具有更高的信噪比,驗證了歸一化互相關方法在高背景噪聲物體中的有效性。

2.3歸一化互相關系數測量的可靠性
在試件的每個測試面上選擇一個沒有預埋缺陷的10mm×10mm(長×寬)區域(共121個采集點),用上述試驗裝置獲得噪聲數據。參考信號(來自水-鈦界面)被加入至每個測試面的噪聲數據中,參考信號的比例因子也由式(6)確定。信號的加入位置與每個測試面的深度一致。為了消除對歸一化互相關系數測量的可靠性分析的影響,文章截斷了初始波和底波。將比噪聲高8dB和20dB的參考信號加入鈦合金試件背景噪聲后的波形如圖5所示。

通過將加入信號本身作為特定信噪比的噪聲參考信號數據,并計算歸一化互相關系數的標準偏差SDρ,可以評價信噪比下缺陷信號(與參考信號一致)的歸一化互相關系數測量的可靠性。文章將加入和計算的參考信號設定為水-鈦界面的回波信號,從而評價歸一化互相關系數檢測方法對TC11鈦合金試件平底孔缺陷的檢測可靠性。
在試件各測試面(沉積面x、沉積面y、印刷面z)提取的噪聲中,分別計算了11個不同信噪比下的歸一化互相關系數的標準偏差,范圍從4dB到20dB,如圖6所示。從圖6可以看出,不同信噪比對應的各測試面的不確定度變化基本一致;參考信號和測量信號之間的歸一化互相關系數差值大于0.3,表明測量信號和參考信號之間存在著弱的相似性。因此,歸一化互相關方法可以有效地測量信噪比高達10dB的平底孔在TC11鈦合金試件3個表面上的回波。

3、檢測試驗與結果
基于試驗裝置和超聲檢測信號處理方法,對試件的每個測試面都進行超聲C掃描和信號處理。底部回波的常規振幅成像結果如圖7所示。由圖7可見,試件同一測試面的底部回波振幅在不同位置處有明顯差異,不同測試面的底部回波衰減規律也不一樣;底部回波的最大振幅點在打印面z上呈點狀分布,在其他兩個表面(沉積面x和沉積面y)上則沿沉積方向呈條狀分布,這是因為在激光熔化沉積的過程中,有粗大的柱狀晶體生長方向與沉積方向一致。超聲波在不同方向傳播時,通過的晶粒界面的數量和散射程度不同,導致激光熔化沉積鈦合金試件不同測試面上底部回波的衰減規律性與內部晶粒分布規律相似。

底部回波振幅的衰減沒有可量化的規律,因此,僅用增益補償的方法很難優化測試結果。試件底部回波的歸一化互相關系數成像結果如圖8所示,與圖7相比,該方法改善了底部回波的成像性能。可以看到,兩個沉積面上底部回波的歸一化互相關系數成像結果顯示出明顯的條狀特征,而打印面的成像結果顯示出明顯的點狀特征。沉積面的底部回波歸一化互相關系數成像結果可以反映出粗大的柱狀晶體在沉積方向上的整體生長。相反,在印刷表面,其可以部分反映出粗大晶體在印刷方向上的整體均勻性。3個測試表面的底部回波的歸一化互相關系數成像結果反映了柱狀晶體在其制造過程中的生長和分布特征,可用于評估試件的整體制造質量。

預埋缺陷的常規振幅C掃描成像結果如圖9所示。在沉積面x和沉積面y的成像結果中,只有1號和4號淺層缺陷可以被清楚地識別,其他缺陷的信噪比較低,無法在沉積面上識別。在打印面z可以識別相對深度較大的3號、4號和6號缺陷。出現上述情況的原因是,與通過沉積面相比,超聲波在柱狀晶體之間傳播的界面較少,檢測深度較大。由于淺層位置的缺陷信號振幅較高,出現了飽和采樣。在截斷部分回波信號后的歸一化互相關系數成像結果如圖10所示。歸一化互相關系數成像結果表明,每個測試面中剩余的未檢測到的預埋缺陷均可以被有效識別,對比圖9中常規振幅成像結果,實現了對每個測試面沿線所有預埋缺陷的檢測。在C掃描投影方向上,缺陷成像的特點是振幅從中心向外逐漸減小。

歸一化互相關方法在參考信號的尺度上對這些回波進行歸一化處理,提取出微弱的信號,同時也擴大了歸一化互相關系數成像上的缺陷尺寸。此外,對于邊緣效應和鈦合金試件的復雜聲學特性帶來的噪聲,還需要進一步的研究。
4、結語
文章基于歸一化互相關信號處理方法,在自主研發的超聲水浸C掃描檢測試驗平臺上實現了對TC11鈦合金試件預埋缺陷的檢測,主要結論如下。
(1)歸一化互相關方法在超聲檢測全波數據信號處理中的應用,提高了傳統單聲道超聲檢測對大厚度、復雜聲學特性的鈦合金試件的缺陷檢測能力。理論和仿真證明,歸一化互相關方法可以減少非相干噪聲。
(2)激光熔化沉積制造的鈦合金具有復雜聲學特性,歸一化互相關方法以與參考信號的相似度(歸一化互相關系數)為尺度,對回波信號進行歸一化處理,參考信號的選擇取決于待檢測的缺陷類型。
(3)提出的超聲檢測參數和信號處理方法對鈦合金試件中信噪比高于10dB的平底孔缺陷具有可靠的檢測能力。
(4)采用歸一化互相關法,實現了對鈦合金試件不同測試面全波信號的重建。底部回波的歸一化互相關系數成像結果反映了試件印刷面和沉積面中粗大柱狀晶體的生長特征。在試件的不同超聲入射方向上,所有預埋缺陷均被檢測出,對試件邊緣和內部接口噪聲的進一步優化以及測試結果中預埋缺陷的量化需要進一步的研究。
參考文獻:
[1]郝云波,趙凱,黃葉玲,等.激光熔化沉積TC11鈦合金雙重退火后的組織和力學性能研究[J].中國激光,2021,48(22):2202001.
[2]謝樂春,劉兵亮,孫軒,等.激光熔化沉積鈦合金及其復合材料組織力學性能研究進展[J].航空制造技術,2022,65(增1):49-66.
[3]周慶軍,嚴振宇,韓旭,等.激光熔化沉積TC11鈦合金的組織與力學性能[J].中國激光,2018,45(11):1102005.
[4]黃雪波.深水導管架TKY疲勞節點焊縫的無損檢測[J].無損檢測,2023,45(3):35-38,83.
[5]余澤禹,袁洪強,衛小龍,等.基于深度學習的管道焊縫超聲檢測缺陷識別方法[J].科學技術與工程,2022,22(30):13288-13292.
[6]周正干,彭地,李洋,等.相控陣超聲檢測技術中的全聚焦成像算法及其校準研究[J].機械工程學報,2015,51(10):1-7.
[7]呂洪濤,李鋒,劉志毅,等.基于超聲C掃描數字圖像處理的缺陷面積分析[J].無損檢測,2022,44(12):37-41,71.
[8]孔令天,李兵,張云飛,等.超聲界面波在充液雙金屬復合管道中的傳播特性分析[J].科學技術與工程,2021,21(9):3475-3480.
[9]李文濤,周正干.激光增材制造鈦合金構件的陣列超聲檢測方法研究[J].機械工程學報,2020,56(8):141-147.
[10]孫晨曦,孫莉,毛凌鋒,等.二維結構中亞波長缺陷的超聲特征[J].無損檢測,2019,41(11):48-52.
[11]吳鵬,徐洪玲,宋文龍.結合小波金字塔的快速NCC圖像匹配算法[J].哈爾濱工程大學學報,2017,38(5):791-796.
[12]王丹,寧寧,楊鵬飛,等.飛機結構強度試驗中碳纖維增強樹脂基復合材料無損檢測技術[J].科學技術與工程,2018,18(18):313-322.
[13]趙宇輝,高孟秋,趙吉賓,等.基于有限元模型的增減材一體化復合制造技術熱力耦合研究[J].機械工程學報,2022,58(15):274-282.
[14]張振林,范孟豹,曹丙花,等.碳纖維復合材料分層缺陷的超聲相控陣檢測方法[J].科學技術與工程,2018,18(18):43-47.
[15]朱新杰,鄧明晰,都東,等.接收孔徑對超聲導波合成孔徑陣列成像檢測的影響分析[J].機械工程學報,2018,54(12):133-140.
[16]張國棟,張鵬,高健時,等.電子束熔絲增材制造TC11鈦合金組織及力學性能[J].機械工程學報,2023,59(4):105-112.
[17]周正干,李文濤,李洋,等.相控陣超聲水浸C掃描自動檢測系統的研制[J].機械工程學報,2017,53(12):28-34.
[18]樊程廣,潘孟春,羅飛路,等.復合材料彈性模量的激光超聲測量方法研究[J].測試技術學報,2012,26(1):78-82.
無相關信息
